bai_lcga_group_2
[資料] 來源=isi_raw_data 目標=bai_lcga_group_2 樣本=151 特徵=72
已排除群組:['BAI', 'EEG']
已排除 LCGA 欄位:8 個
總缺值比例:9.34%
[CV結果](分數 = neg_log_loss,越大越好 → log_loss 越小)
lambda_min:C = 0.108689 | lambda = 9.20057
lambda_1SE:C = 0.0556867 | lambda = 17.9576
[選入變項(1SE)] 以 |係數| 排序(前 30)
(無變項被選入;可放寬正則或檢查特徵)
[對照] lambda_min 非零變項數:4,lambda_1SE 非零變項數:0
[選入變項(lambda_min)] 以 |係數| 排序(前 30)
coef abs_coef
IGT_NET_3 0.132002 0.132002
ERQ_ES -0.116544 0.116544
CPT_HRT_T -0.078618 0.078618
CD_RISC_T3 -0.008110 0.008110
[Top 10(路徑峰值)] 不綁定單一 C
HRV_PNN50
HRV_NN50
WCST_TOTAL_ERRORS_T
WCST_PERS_ERR_T
HRV_SDNN_MS
WCST_PCT_NONPERS_ERR_T
ACS_FOCUSING
WCST_NONPERS_ERR_T
ACS_SCALE
ACS_TOTAL

bai_lcga_group_3
[模式] 排除模式
[資料] 來源=isi_raw_data 目標=bai_lcga_group_3 樣本=151 特徵=72
已排除群組:['BAI', 'EEG']
已排除 LCGA 欄位:8 個
總缺值比例:9.34%
[CV結果](分數 = neg_log_loss,越大越好 → log_loss 越小)
lambda_min:C = 0.0884751 | lambda = 11.3026
lambda_1SE:C = 0.0502423 | lambda = 19.9035
[選入變項(1SE)] 以 |係數| 排序(前 30)
(無變項被選入;可放寬正則或檢查特徵)
[對照] lambda_min 非零變項數:2,lambda_1SE 非零變項數:0
[選入變項(lambda_min)] 以 |係數| 排序(前 30)
coef abs_coef
CD_RISC_T1 0.027907 0.027907
ERQ_ES 0.022810 0.022810
[Top 10(路徑峰值)] 不綁定單一 C
HRV_NN50
IGT_NET_3
CD_RISC_T1
ACS_FOCUSING
CPT_PRS_T
ACS_SCALE
ACS_TOTAL
WM_RAW_SCORE
IGT_DECK_B
AGE

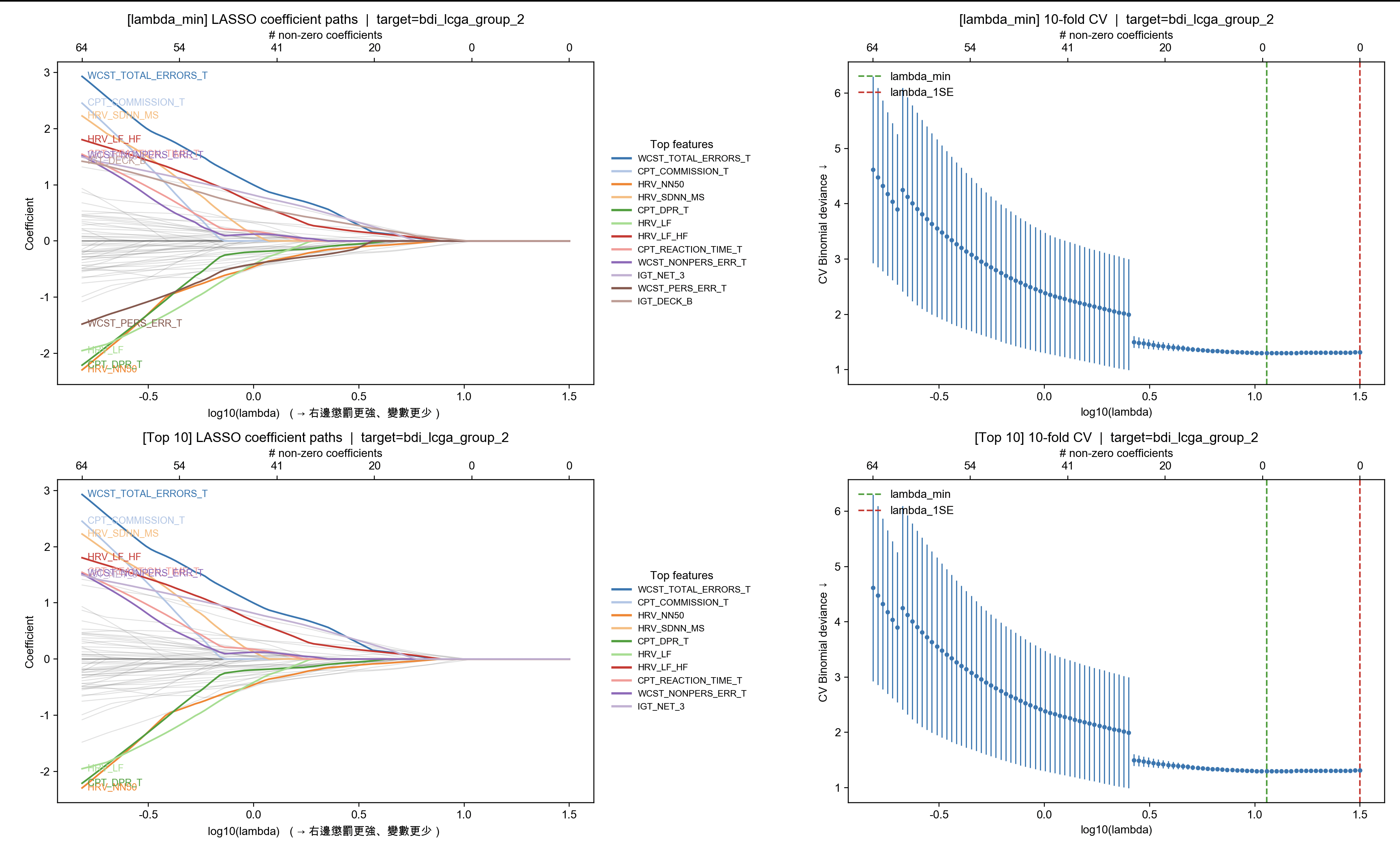
bdi_lcga_group_2
/Users/yuchi/PycharmProjects/PsyMl_ISI/.venv/bin/python /Users/yuchi/PycharmProjects/PsyMl_ISI/學長/lasso_ranking_n.py
[模式] 排除模式
[資料] 來源=isi_raw_data 目標=bdi_lcga_group_2 樣本=151 特徵=72
已排除群組:['BDI', 'EEG']
已排除 LCGA 欄位:8 個
總缺值比例:9.34%
[CV結果](分數 = neg_log_loss,越大越好 → log_loss 越小)
lambda_min:C = 0.0879501 | lambda = 11.3701
lambda_1SE:C = 0.0316228 | lambda = 31.6228
[選入變項(1SE)] 以 |係數| 排序(前 30)
(無變項被選入;可放寬正則或檢查特徵)
[對照] lambda_min 非零變項數:0,lambda_1SE 非零變項數:0
[Top 10(路徑峰值)] 不綁定單一 C
WCST_TOTAL_ERRORS_T
CPT_COMMISSION_T
HRV_NN50
HRV_SDNN_MS
CPT_DPR_T
HRV_LF
HRV_LF_HF
CPT_REACTION_TIME_T
WCST_NONPERS_ERR_T
IGT_NET_3

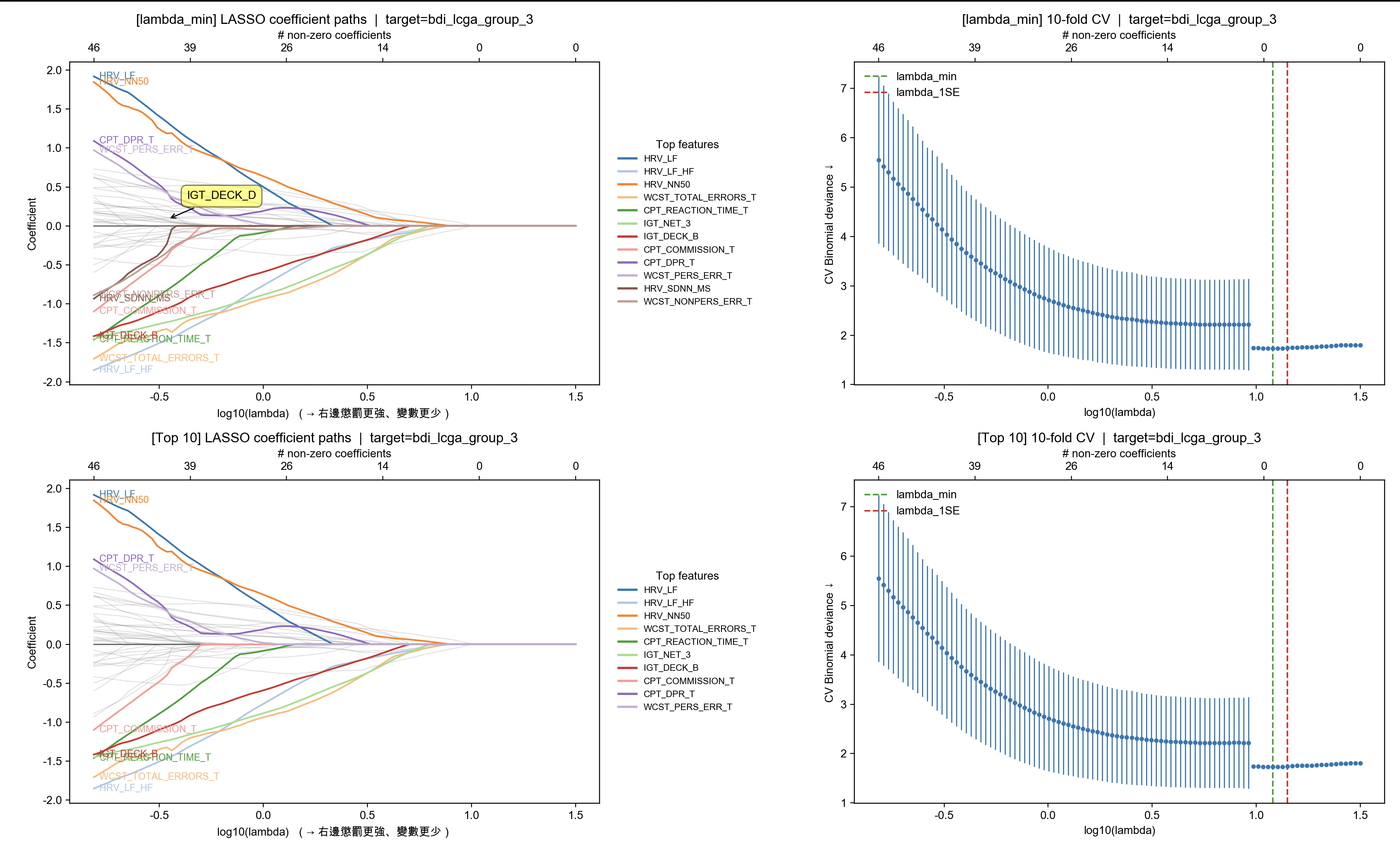
bdi_lcga_group_3
[模式] 排除模式
[資料] 來源=isi_raw_data 目標=bdi_lcga_group_3 樣本=151 特徵=72
已排除群組:['BDI', 'EEG']
已排除 LCGA 欄位:8 個
總缺值比例:9.34%
[CV結果](分數 = neg_log_loss,越大越好 → log_loss 越小)
lambda_min:C = 0.0833404 | lambda = 11.999
lambda_1SE:C = 0.0709109 | lambda = 14.1022
[選入變項(1SE)] 以 |係數| 排序(前 30)
(無變項被選入;可放寬正則或檢查特徵)
[對照] lambda_min 非零變項數:0,lambda_1SE 非零變項數:0
[Top 10(路徑峰值)] 不綁定單一 C
HRV_LF
HRV_LF_HF
HRV_NN50
WCST_TOTAL_ERRORS_T
CPT_REACTION_TIME_T
IGT_NET_3
IGT_DECK_B
CPT_COMMISSION_T
CPT_DPR_T
WCST_PERS_ERR_T

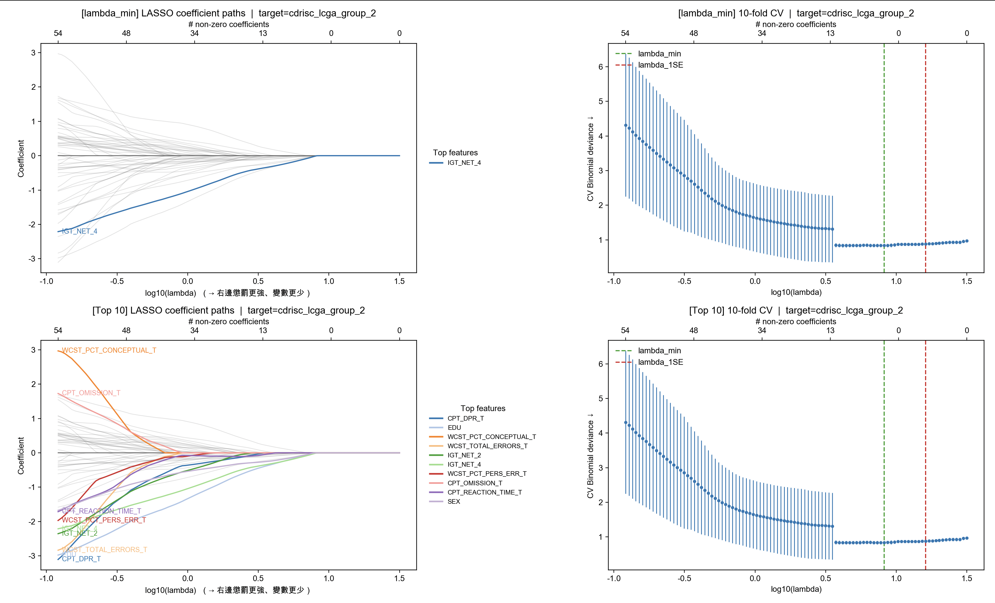
cdrisc_lcga_group_2
[資料] 來源=isi_raw_data 目標=cdrisc_lcga_group_2 樣本=151 特徵=72
已排除群組:['CDRISC', 'EEG']
已排除 LCGA 欄位:9 個
總缺值比例:9.34%
[CV結果](分數 = neg_log_loss,越大越好 → log_loss 越小)
lambda_min:C = 0.121926 | lambda = 8.2017
lambda_1SE:C = 0.0620938 | lambda = 16.1047
[選入變項(1SE)] 以 |係數| 排序(前 30)
(無變項被選入;可放寬正則或檢查特徵)
[對照] lambda_min 非零變項數:1,lambda_1SE 非零變項數:0
[選入變項(lambda_min)] 以 |係數| 排序(前 30)
coef abs_coef
IGT_NET_4 -0.002353 0.002353
[Top 10(路徑峰值)] 不綁定單一 C
CPT_DPR_T
EDU
WCST_PCT_CONCEPTUAL_T
WCST_TOTAL_ERRORS_T
IGT_NET_2
IGT_NET_4
WCST_PCT_PERS_ERR_T
CPT_OMISSION_T
CPT_REACTION_TIME_T
SEX

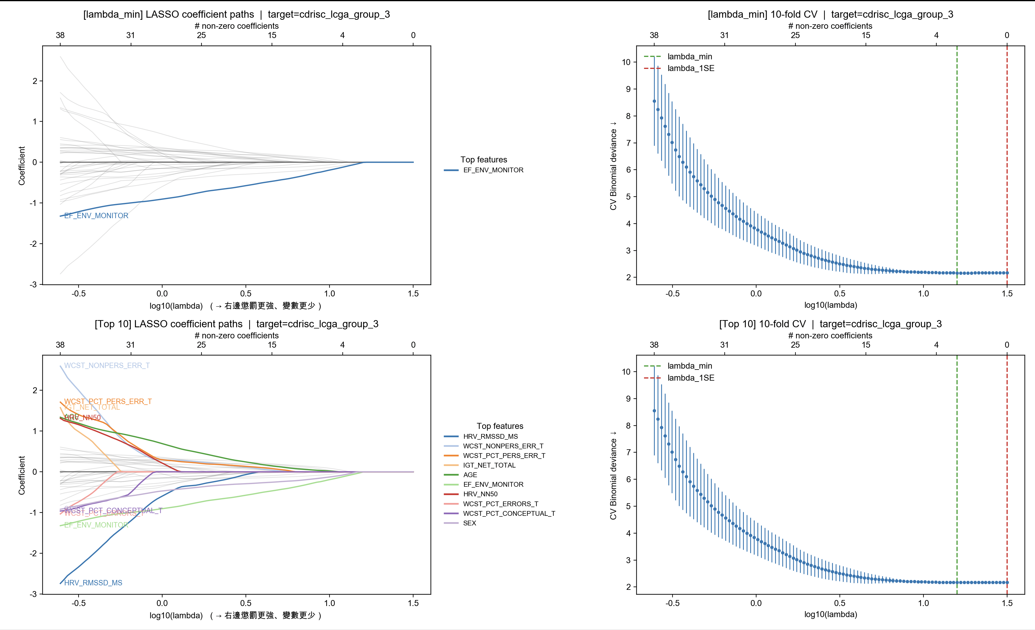
cdrisc_lcga_group_3
[模式] 排除模式
[資料] 來源=isi_raw_data 目標=cdrisc_lcga_group_3 樣本=151 特徵=72
已排除群組:['CDRISC', 'EEG']
已排除 LCGA 欄位:9 個
總缺值比例:9.34%
[CV結果](分數 = neg_log_loss,越大越好 → log_loss 越小)
lambda_min:C = 0.0628373 | lambda = 15.9141
lambda_1SE:C = 0.0316228 | lambda = 31.6228
[選入變項(1SE)] 以 |係數| 排序(前 30)
(無變項被選入;可放寬正則或檢查特徵)
[對照] lambda_min 非零變項數:1,lambda_1SE 非零變項數:0
[選入變項(lambda_min)] 以 |係數| 排序(前 30)
coef abs_coef
EF_ENV_MONITOR -0.003587 0.003587
[Top 10(路徑峰值)] 不綁定單一 C
HRV_RMSSD_MS
WCST_NONPERS_ERR_T
WCST_PCT_PERS_ERR_T
IGT_NET_TOTAL
AGE
EF_ENV_MONITOR
HRV_NN50
WCST_PCT_ERRORS_T
WCST_PCT_CONCEPTUAL_T
SEX

isi_lcga_group_2
[資料] 來源=isi_raw_data 目標=isi_lcga_group_2 樣本=151 特徵=75
已排除群組:['EEG', 'ISI']
已排除 LCGA 欄位:8 個
總缺值比例:9.70%
[CV結果](分數 = neg_log_loss,越大越好 → log_loss 越小)
lambda_min:C = 0.0979486 | lambda = 10.2094
lambda_1SE:C = 0.0436803 | lambda = 22.8936
[選入變項(1SE)] 以 |係數| 排序(前 30)
(無變項被選入;可放寬正則或檢查特徵)
[對照] lambda_min 非零變項數:3,lambda_1SE 非零變項數:0
[選入變項(lambda_min)] 以 |係數| 排序(前 30)
coef abs_coef
IGT_NET_1 -0.037753 0.037753
DBAS -0.031817 0.031817
IGT_NET_TOTAL -0.012807 0.012807
[Top 10(路徑峰值)] 不綁定單一 C
IGT_NET_TOTAL
HRV_NN50
WCST_TOTAL_ERRORS_T
CPT_REACTION_TIME_T
HRV_PNN50
ACS_FOCUSING
CPT_COMMISSION_T
CPT_OMISSION_T
HRV_POWER
IGT_NET_3

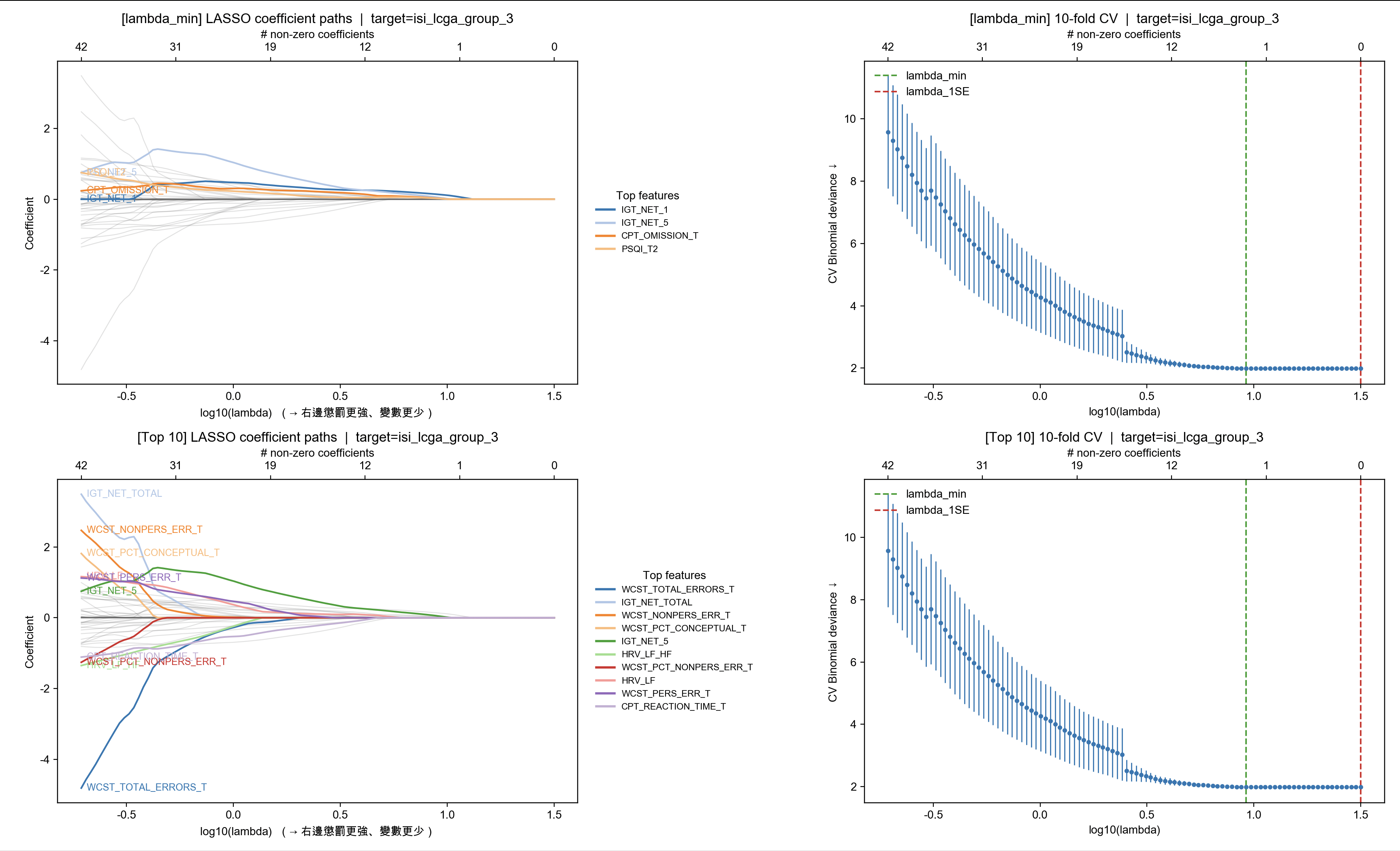
isi_lcga_group_3
[資料] 來源=isi_raw_data 目標=isi_lcga_group_3 樣本=151 特徵=75
已排除群組:['EEG', 'ISI']
已排除 LCGA 欄位:8 個
總缺值比例:9.70%
[CV結果](分數 = neg_log_loss,越大越好 → log_loss 越小)
lambda_min:C = 0.108689 | lambda = 9.20057
lambda_1SE:C = 0.0316228 | lambda = 31.6228
[選入變項(1SE)] 以 |係數| 排序(前 30)
(無變項被選入;可放寬正則或檢查特徵)
[對照] lambda_min 非零變項數:4,lambda_1SE 非零變項數:0
[選入變項(lambda_min)] 以 |係數| 排序(前 30)
coef abs_coef
IGT_NET_1 0.132222 0.132222
IGT_NET_5 0.044673 0.044673
CPT_OMISSION_T 0.022177 0.022177
PSQI_T2 0.018283 0.018283
[Top 10(路徑峰值)] 不綁定單一 C
WCST_TOTAL_ERRORS_T
IGT_NET_TOTAL
WCST_NONPERS_ERR_T
WCST_PCT_CONCEPTUAL_T
IGT_NET_5
HRV_LF_HF
WCST_PCT_NONPERS_ERR_T
HRV_LF
WCST_PERS_ERR_T
CPT_REACTION_TIME_T
