/Users/yuchi/PycharmProjects/PsyMl_ISI/.venv/bin/python /Users/yuchi/PycharmProjects/PsyMl_ISI/ML/tools/lasso_ranking.py
[模式] 排除模式
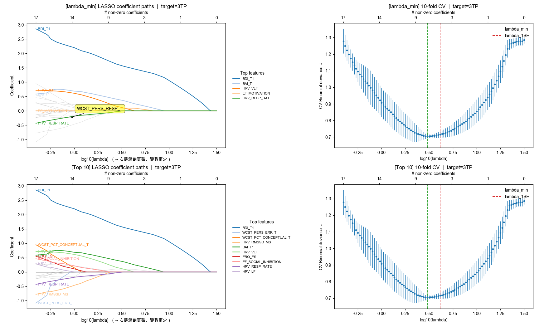
[資料] 來源=isi_raw_data 目標=3TP 樣本=80 特徵=37
已排除群組:['ACS', 'CPT', 'EEG', 'IGT', 'ISI', 'PSQI', 'WM']
總缺值比例:17.20%
[CV結果](分數 = neg_log_loss,越大越好 → log_loss 越小)
lambda_min:C = 0.330177 | lambda = 3.02868
lambda_1SE:C = 0.242212 | lambda = 4.12862
[選入變項(1SE)] 以 |係數| 排序(前 30)
coef abs_coef
BDI_T1 1.475406 1.475406
BAI_T1 0.266486 0.266486
EF_MOTIVATION 0.091748 0.091748
HRV_VLF 0.017864 0.017864
[對照] lambda_min 非零變項數:5,lambda_1SE 非零變項數:4
[選入變項(lambda_min)] 以 |係數| 排序(前 30)
coef abs_coef
BDI_T1 1.595091 1.595091
BAI_T1 0.382922 0.382922
HRV_VLF 0.131116 0.131116
EF_MOTIVATION 0.097169 0.097169
HRV_RESP_RATE -0.015412 0.015412
[Top 10(路徑峰值)] 不綁定單一 C
BDI_T1
WCST_PERS_ERR_T
WCST_PCT_CONCEPTUAL_T
HRV_RMSSD_MS
BAI_T1
HRV_VLF
ERQ_ES
EF_SOCIAL_INHIBITION
HRV_RESP_RATE
HRV_LF

[資料] 來源=isi_raw_data 目標=3TP 列數=51 特徵數=2
[特徵] 使用欄位(前 15):['BDI_T1', 'BAI_T1']
[CV] Stratified 5-fold, seed=42 | class_weight=balanced
[聚合] K-fold = weighted | LOSO = weighted
[Leakage check] Class balance
count percent%
3TP
0 35 68.6
1 16 31.4
[Leakage check] 未發現與目標 |r| ≥ 0.95 的欄位。
=== Basic ML Benchmark (Stratified 5-fold CV) ===
model AUC F1_pos(=1) Prec_pos Rec_pos F1_neg(=0) Prec_neg Rec_neg MCC Accuracy Pred1_mean Pred0_mean
LogisticRegression 0.878 0.688 0.688 0.688 0.857 0.857 0.857 0.545 0.804 3.200 7.000
NaiveBayes 0.871 0.759 0.846 0.688 0.904 0.868 0.943 0.671 0.863 2.600 7.600
MLP 0.844 0.684 0.591 0.812 0.812 0.897 0.743 0.520 0.765 4.400 5.800
KNN 0.789 0.690 0.769 0.625 0.877 0.842 0.914 0.574 0.824 2.600 7.600
SVM 0.776 0.686 0.632 0.750 0.836 0.875 0.800 0.528 0.784 3.800 6.400
RandomForest 0.774 0.606 0.588 0.625 0.812 0.824 0.800 0.418 0.745 3.400 6.800
XGBoost 0.762 0.647 0.611 0.688 0.824 0.848 0.800 0.473 0.765 3.600 6.600
DecisionTree 0.721 0.606 0.588 0.625 0.812 0.824 0.800 0.418 0.745 3.400 6.800
--- Aggregated Confusion Matrix Sums (across all folds' test parts) ---
model TN_sum FP_sum FN_sum TP_sum FP_FN_IDS
LogisticRegression 30 5 5 11 [S112194, S112019, S112047, S112159, S112119 | S112002, S112008, S112036, S112169, S112183]
NaiveBayes 33 2 5 11 [S112194, S112019 | S112002, S112008, S112036, S112169, S112183]
MLP 26 9 3 13 [S112194, S112019, S112047, S112159, S112012, S112042, S112105, S112119, S112104 | S112008, S112115, S112183]
KNN 32 3 6 10 [S112194, S112019, S112042 | S112002, S112008, S112036, S112169, S112183, S112029]
SVM 28 7 4 12 [S112194, S112019, S112047, S112159, S112012, S112119, S112104 | S112008, S112036, S112169, S112183]
RandomForest 28 7 6 10 [S112194, S112019, S112047, S112159, S112012, S112042, S112176 | S112003, S112008, S112036, S112169, S112183, S112029]
XGBoost 28 7 5 11 [S112194, S112019, S112047, S112159, S112012, S112042, S112105 | S112008, S112036, S112169, S112183, S112029]
DecisionTree 28 7 6 10 [S112019, S112047, S112159, S112012, S112042, S112105, S112176 | S112003, S112008, S112036, S112169, S112183, S112029]
[資料] 來源=isi_raw_data 目標=3TP 列數=51 特徵數=5
[特徵] 使用欄位(前 15):['BDI_T1', 'BAI_T1', 'HRV_VLF', 'HRV_LF', 'HRV_RESP_RATE']
[CV] Stratified 5-fold, seed=42 | class_weight=balanced
[聚合] K-fold = weighted | LOSO = weighted
[Leakage check] Class balance
count percent%
3TP
0 35 68.6
1 16 31.4
[Leakage check] 未發現與目標 |r| ≥ 0.95 的欄位。
=== Basic ML Benchmark (Stratified 5-fold CV) ===
model AUC F1_pos(=1) Prec_pos Rec_pos F1_neg(=0) Prec_neg Rec_neg MCC Accuracy Pred1_mean Pred0_mean
NaiveBayes 0.857 0.800 0.857 0.750 0.917 0.892 0.943 0.720 0.882 2.800 7.400
LogisticRegression 0.827 0.710 0.733 0.688 0.873 0.861 0.886 0.584 0.824 3.000 7.200
KNN 0.816 0.692 0.900 0.562 0.895 0.829 0.971 0.624 0.843 2.000 8.200
SVM 0.814 0.688 0.688 0.688 0.857 0.857 0.857 0.545 0.804 3.200 7.000
XGBoost 0.791 0.588 0.556 0.625 0.794 0.818 0.771 0.385 0.725 3.600 6.600
RandomForest 0.750 0.552 0.615 0.500 0.822 0.789 0.857 0.380 0.745 2.600 7.600
DecisionTree 0.638 0.514 0.474 0.562 0.746 0.781 0.714 0.266 0.667 3.800 6.400
MLP 0.609 0.438 0.438 0.438 0.743 0.743 0.743 0.180 0.647 3.200 7.000
--- Aggregated Confusion Matrix Sums (across all folds' test parts) ---
model TN_sum FP_sum FN_sum TP_sum FP_FN_IDS
NaiveBayes 33 2 4 12 [S112194, S112019 | S112008, S112036, S112169, S112183]
LogisticRegression 31 4 5 11 [S112194, S112019, S112159, S112119 | S112002, S112008, S112036, S112169, S112183]
KNN 34 1 7 9 [S112173 | S112002, S112003, S112008, S112039, S112036, S112169, S112183]
SVM 30 5 5 11 [S112079, S112173, S112194, S112019, S112047 | S112002, S112008, S112036, S112169, S112183]
XGBoost 27 8 6 10 [S112079, S112194, S112019, S112047, S112159, S112012, S112042, S112105 | S112002, S112003, S112008, S112036, S112169, S112183]
RandomForest 30 5 8 8 [S112194, S112019, S112047, S112159, S112042 | S112002, S112003, S112008, S112039, S112036, S112169, S112183, S112029]
DecisionTree 25 10 7 9 [S112079, S112173, S112194, S112019, S112047, S112159, S112012, S112042, S112105, S112119 | S112003, S112008, S112055, S112036, S112169, S112183, S112029]
MLP 26 9 9 7 [S112194, S112019, S112012, S112105, S112119, S112158, S112177, S112160, S112180 | S112002, S112008, S112086, S112055, S112087, S112036, S112183, S112023, S112029]
[資料] 來源=isi_raw_data 目標=3TP 列數=51 特徵數=6
[特徵] 使用欄位(前 15):['BDI_T1', 'BAI_T1', 'EF_MOTIVATION', 'HRV_VLF', 'HRV_LF', 'HRV_RESP_RATE']
[CV] Stratified 5-fold, seed=42 | class_weight=balanced
[聚合] K-fold = weighted | LOSO = weighted
[Leakage check] Class balance
count percent%
3TP
0 35 68.6
1 16 31.4
[Leakage check] 未發現與目標 |r| ≥ 0.95 的欄位。
=== Basic ML Benchmark (Stratified 5-fold CV) ===
model AUC F1_pos(=1) Prec_pos Rec_pos F1_neg(=0) Prec_neg Rec_neg MCC Accuracy Pred1_mean Pred0_mean
NaiveBayes 0.859 0.800 0.857 0.750 0.917 0.892 0.943 0.720 0.882 2.800 7.400
XGBoost 0.843 0.629 0.579 0.688 0.806 0.844 0.771 0.440 0.745 3.800 6.400
LogisticRegression 0.839 0.688 0.688 0.688 0.857 0.857 0.857 0.545 0.804 3.200 7.000
KNN 0.821 0.667 1.000 0.500 0.897 0.814 1.000 0.638 0.843 1.600 8.600
MLP 0.821 0.578 0.448 0.812 0.667 0.864 0.543 0.333 0.627 5.800 4.400
SVM 0.816 0.667 0.714 0.625 0.861 0.838 0.886 0.531 0.804 2.800 7.400
RandomForest 0.783 0.690 0.769 0.625 0.877 0.842 0.914 0.574 0.824 2.600 7.600
DecisionTree 0.713 0.606 0.588 0.625 0.812 0.824 0.800 0.418 0.745 3.400 6.800
--- Aggregated Confusion Matrix Sums (across all folds' test parts) ---
model TN_sum FP_sum FN_sum TP_sum FP_FN_IDS
NaiveBayes 33 2 4 12 [S112194, S112019 | S112008, S112036, S112169, S112183]
XGBoost 27 8 5 11 [S112079, S112194, S112019, S112047, S112159, S112012, S112042, S112105 | S112002, S112008, S112036, S112169, S112183]
LogisticRegression 30 5 5 11 [S112194, S112019, S112159, S112119, S112043 | S112002, S112008, S112036, S112169, S112183]
KNN 35 0 8 8 [- | S112002, S112003, S112008, S112039, S112036, S112169, S112183, S112029]
MLP 19 16 3 13 [S112194, S112019, S112047, S112159, S112012, S112042, S112105, S112119, S112158, S112177, S112077, S112160, S112164, S112180, S112043, S112104 | S112002, S112008, S112036]
SVM 31 4 6 10 [S112079, S112173, S112019, S112047 | S112002, S112008, S112039, S112036, S112169, S112183]
RandomForest 32 3 6 10 [S112019, S112047, S112159 | S112002, S112008, S112039, S112036, S112169, S112183
DecisionTree 28 7 6 10 [S112079, S112173, S112194, S112047, S112012, S112042, S112105 | S112003, S112008, S112115, S112036, S112169, S112183]