UMAP區別異常值

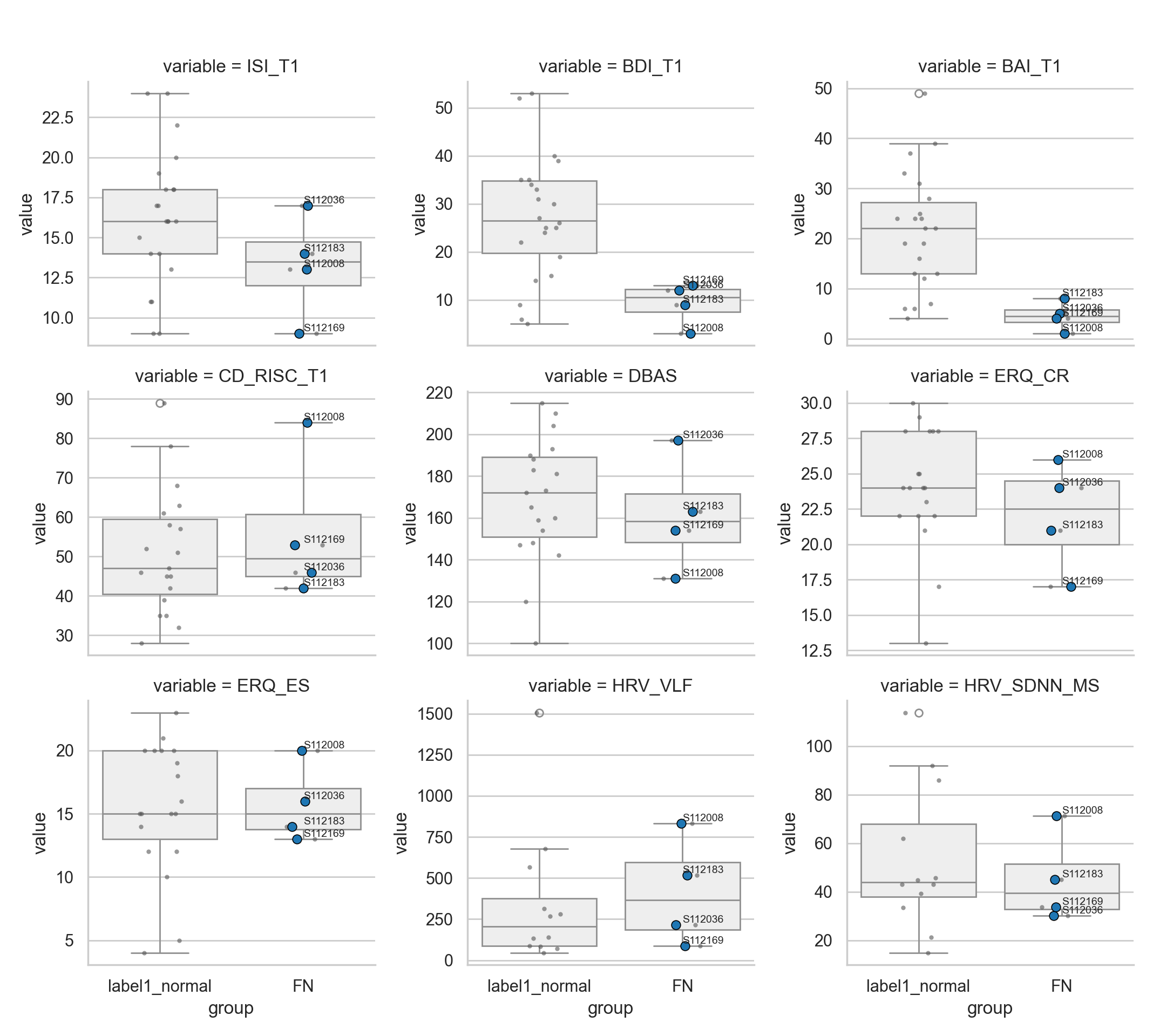
異常個案差異分析:FP:S112194, S112019 | FN:S112008, S112036, S112169, S112183

  1. 「高焦慮型」(FP組):

  • 有明顯的情緒困擾 (BDI/BAI高)
  • 心理韌性低 (CD-RISC低)
  • 但睡眠問題尚未顯現 (ISI正常)
  • ? 可能是「失眠前期」或「情緒障礙主導型」
  1. 「純睡眠障礙型」(FN組):
  • 有明確的失眠問題 (ISI高)
  • 但情緒穩定 (BDI/BAI低)
  • 對睡眠有較多非理性信念 (DBAS高)
  • ? 可能是「原發性失眠」或「睡眠信念導向型」

心理韌性極低 (CD-RISC)

  • 異常組: 50.67  vs  正常組: 63.07   (差距 -12.4分)                  

  • FP組特別低:                                                          

    • S112019 (游淄亘): CD-RISC = 32  ← 遠低於平均                     
    • S112194 (吳姿靚): CD-RISC = 47         
  • 心理韌性低可能導致:

    • 即使沒失眠,焦慮/憂鬱仍高(FP組)
    • 即使有失眠,也能保持低焦慮/憂鬱(FN組中陳荐濂CD-RISC=84)

失功能睡眠信念高 (DBAS)

  • 異常組: 155.67  vs  正常組: 132.15   (差距 +23.5分)

  • FN組特別高:                                                          

    • S112036 (林依芸): DBAS = 197  ← 極高                             
    • S112183 (陳品蓉): DBAS = 163
  • DBAS高代表對睡眠有非理性信念

    • 例如:我必須睡滿8小時否則會崩潰, 失眠會毀掉我的健康
    • 過度擔心睡眠,反而影響睡眠品質

ISI與BDI/BAI的「不一致」現象

  • FP組 (無失眠但高焦慮/憂鬱) 👉 情緒問題嚴重,但睡眠尚可                         

    • ISI_T1 = 6   (正常)                                                
    • BDI_T1 = 17.5 (中度憂鬱)
    • BAI_T1 = 15.0 (中度焦慮)       
  • FN組 (有失眠但低焦慮憂鬱) 👉 睡眠問題明顯,但情緒穩定

    • ISI_T1 = 13.25 (亞臨床/臨床失眠) 
    • BDI_T1 = 9.25  (輕度或正常)
    • BAI_T1 = 4.50  (正常)

情緒調節策略較差 (ERQ)

  • 認知重評 (CR): 異常組 21.33  vs  正常組 25.96
  • 異常組較少使用「認知重評」這種健康的情緒調節策略 👉 可能導致情緒與睡眠問題的交互影響

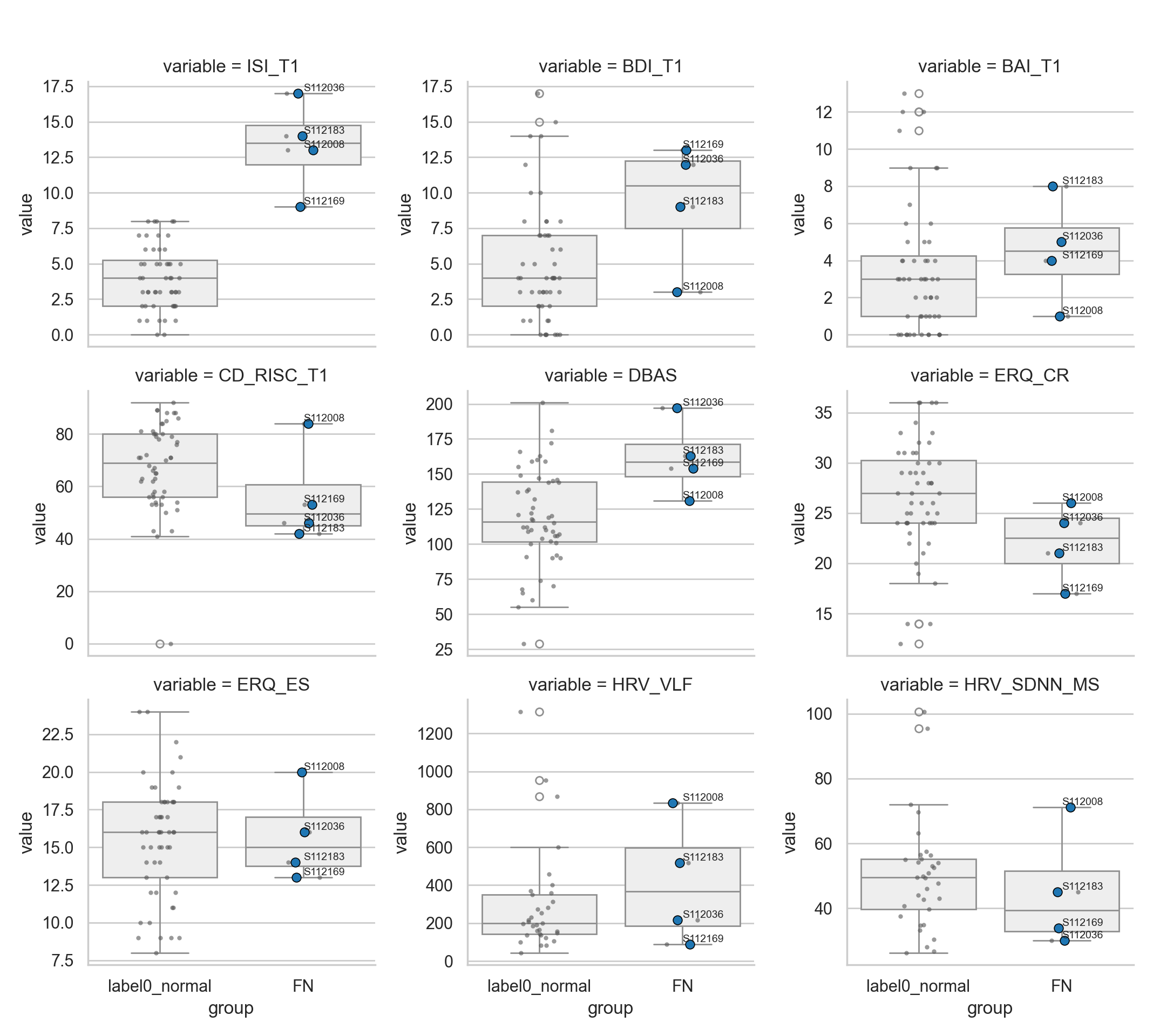
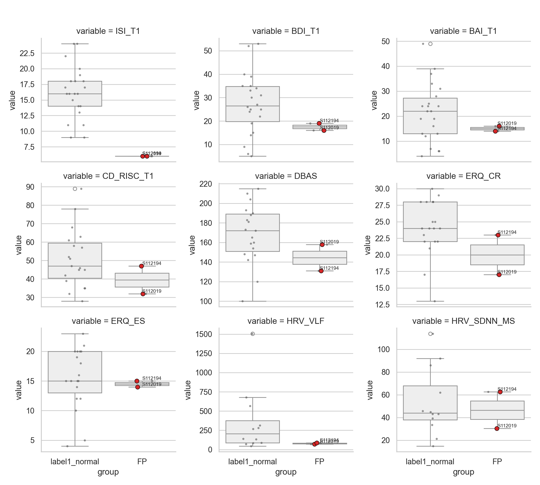
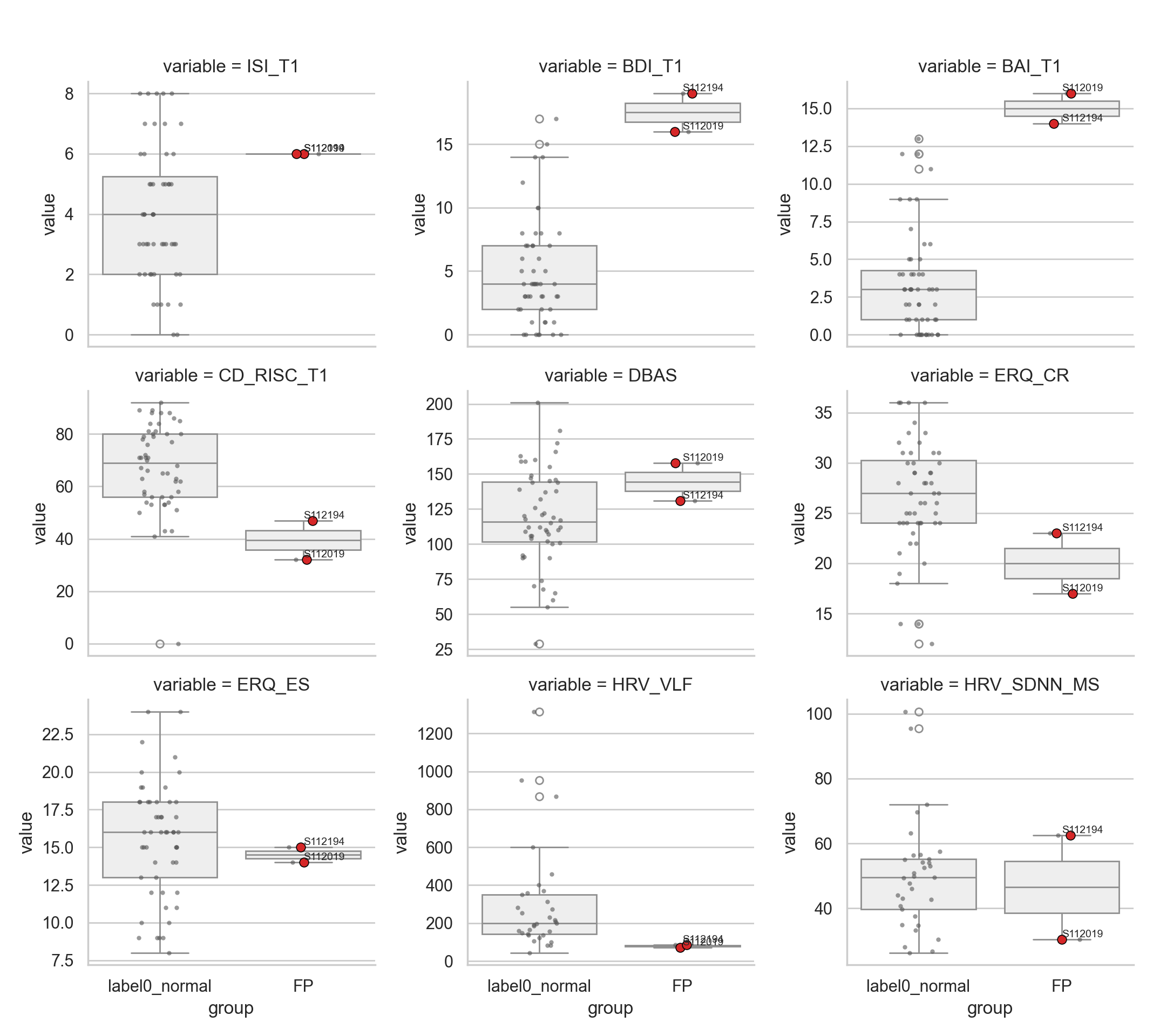
現有變項當中,異常個案的數據分析:

FP組(無失眠但被預測為有失眠)

ID姓名3TPBDI_T1BAI_T1HRV_VLFHRV_SDNN_MSHRV_LFCD-RISCDBASISI_T1
S112194吳姿靚019.014.086.8362.52437.52471316
S112019游淄亘016.016.072.2130.43144.46321586

特徵:

  • BDI/BAI極高(在無失眠組排名96-100%)
  • HRV偏低(像失眠組)
  • 心理韌性極低(32, 47 vs 正常組63)
  • ISI正常(6分,遠低於失眠標準8分)

FN組(有失眠但被預測為無失眠)

ID姓名3TPBDI_T1BAI_T1HRV_VLFHRV_SDNN_MSHRV_LFCD-RISCDBASISI_T1
S112008陳荐濂13.01.0833.2171.17427.398413113
S112036林依芸112.05.0216.6630.1058.764619717
S112169馬映俠113.04.086.9333.80255.03531549
S112183陳品蓉19.08.0518.3545.02267.324216314

特徵:

  • BDI/BAI極低(在失眠組排名3.8-30.8%)
  • HRV正常或偏高(不像失眠組)
  • DBAS高(154-197 vs 正常組132),過度擔心睡眠
  • ISI在亞臨床/臨床失眠範圍(9-17分)

統計、標準差比較

失眠但被誤判沒失眠(FN)個案,跟失眠個案比較

  • BAI_T1, BDI_T1 顯著低於失眠組(不憂鬱、不焦慮但失眠)

⭐ 失眠但被誤判沒失眠(FN)個案,跟健康個案比較

  • DBAS:顯著更高(p=0.0259)
  • ERQ_CR:接近但未達顯著(p=0.0713)

非失眠但被誤判為失眠(FP)個案,跟失眠個案比較

  • BAI_T1, BDI_T1 跟失眠個案相似

⭐ 非失眠但被誤判為失眠(FP)個案,跟健康個案比較

  • BAI_T1, BDI_T1跟健康個案比起來明顯偏高
  •  CD‑RISC:顯著更低(p=0.033)
  • ERQ_CR:接近但未達顯著(p=0.073)

1000 1000