📊 資料對稱性統計

總體樣本概況

指標樣本數說明
總樣本數331資料庫中所有受試者
T1 完整326ISI_T1 + BDI_T1 + BAI_T1 非空
T1 + T2 完整259ISI_T1, ISI_T2, BDI_T1, BDI_T2, BAI_T1, BAI_T2 非空
T1 + T2 + T3 完整156所有測時點和基線特徵都非空

目標變數與可用樣本

目標變數樣本數比例說明
3TP (目標)9729.3%用於 3 測時點預測
2TP (目標)19157.7%用於 2 測時點預測

生物標記可用性

生物標記類型樣本數完整性說明
EEG (FAA)26780.7%EEG_FAA_REL_ALPHA_F4F3 非空
HRV (RMSSD)26780.7%HRV_RMSSD_MS 非空
PAC (MVL)27382.5%isi_raw_data_transformer_pac_mvl 配對
PAC (MI)27382.5%isi_raw_data_transformer_pac_mi 配對

基線特徵與附加特徵組合

組合類型樣本數完整度說明
BDI + BAI (基線)32698.5%基線特徵最高完整度
BDI + BAI + EEG_FAA26379.5%加入 EEG 特徵
BDI + BAI + EEG_FAA + 3TP6619.9%用於本次分析的完整樣本
BDI + BAI + EEG_FAA + 2TP13942.0%2TP 目標的完整樣本

🔑 關鍵發現

  • 對稱最好的測時點: T1 有 326 個完整樣本 (98.5%)
  • 主要瓶頸: 3TP 目標變數稀缺,只有 97 個樣本 → 與完整特徵組合交集後只剩 66 個
  • 生物標記覆蓋率: PAC > EEG ≈ HRV (都在 80-82%)
  • 建議: 可考慮用 2TP (191 個) 或擴大 T1+T2 樣本 (259 個) 進行分析

[資料] 來源=isi_raw_data_transformer  目標=3TP  列數=66  特徵數=2
[特徵] 使用欄位(前 15):['BDI_T1', 'BAI_T1']
[CV] Stratified 5-fold, seed=42  |  class_weight=balanced
[聚合] K-fold = weighted | LOSO = weighted

[Leakage check] Class balance
     count  percent%
3TP                 
0       45      68.2
1       21      31.8

[Leakage check] 未發現與目標 |r| ≥ 0.95 的欄位。

=== Basic ML Benchmark (Stratified 5-fold CV) ===
             model   AUC  AUC_overall  F1_pos(=1)  Prec_pos  Rec_pos  F1_neg(=0)  Prec_neg  Rec_neg   MCC  Accuracy  Pred1_mean  Pred0_mean
        NaiveBayes 0.869        0.869       0.684     0.765    0.619       0.872     0.837    0.911 0.565     0.818       3.400       9.800
LogisticRegression 0.868        0.868       0.651     0.636    0.667       0.831     0.841    0.822 0.483     0.773       4.400       8.800
               SVM 0.807        0.807       0.638     0.577    0.714       0.800     0.850    0.756 0.448     0.742       5.200       8.000
               KNN 0.789        0.789       0.526     0.588    0.476       0.809     0.776    0.844 0.342     0.727       3.400       9.800
      RandomForest 0.784        0.784       0.649     0.750    0.571       0.863     0.820    0.911 0.524     0.803       3.200      10.000
               MLP 0.746        0.746       0.579     0.647    0.524       0.830     0.796    0.867 0.416     0.758       3.400       9.800
      DecisionTree 0.695        0.695       0.558     0.545    0.571       0.787     0.795    0.778 0.345     0.712       4.400       8.800
           XGBoost 0.690        0.690       0.600     0.632    0.571       0.826     0.809    0.844 0.428     0.758       3.800       9.400

--- Aggregated Confusion Matrix Sums (across all folds' test parts) ---
             model  TN_sum  FP_sum  FN_sum  TP_sum                                                                                                                                                                    FP_FN_IDS
        NaiveBayes      41       4       8      13                                                                [S112019, S112240, S112271, S112194 | S112008, S112036, S112257, S112203, S112029, S112169, S112183, S112268]
LogisticRegression      37       8       7      14                                     [S112019, S112047, S112240, S112271, S112194, S112030, S112119, S112159 | S112008, S112036, S112257, S112203, S112222, S112169, S112183]
               SVM      34      11       6      15                   [S112184, S112201, S112019, S112047, S112240, S112271, S112194, S112030, S112119, S112159, S112168 | S112008, S112257, S112203, S112222, S112169, S112183]
               KNN      38       7      11      10          [S112019, S112047, S112240, S112271, S112194, S112119, S112159 | S112008, S112036, S112214, S112039, S112257, S112203, S112222, S112029, S112169, S112183, S112268]
      RandomForest      41       4       9      12                                                       [S112019, S112047, S112240, S112271 | S112008, S112086, S112039, S112203, S112222, S112029, S112169, S112183, S112268]
               MLP      39       6      10      11                            [S112184, S112019, S112042, S112047, S112240, S112271 | S112008, S112086, S112214, S112039, S112203, S112222, S112029, S112169, S112268, S112023]
      DecisionTree      35      10       9      12 [S112019, S112026, S112186, S112207, S112215, S112247, S112047, S112240, S112271, S112030 | S112008, S112086, S112214, S112039, S112203, S112222, S112029, S112183, S112268]
           XGBoost      38       7       9      12                            [S112019, S112215, S112047, S112240, S112271, S112159, S112168 | S112008, S112036, S112086, S112039, S112203, S112222, S112029, S112183, S112268]



[資料] 來源=isi_raw_data_transformer  目標=3TP  列數=66  特徵數=3
[特徵] 使用欄位(前 15):['BDI_T1', 'BAI_T1', 'EEG_FAA_REL_ALPHA_F4F3']
[CV] Stratified 5-fold, seed=42  |  class_weight=balanced
[聚合] K-fold = weighted | LOSO = weighted

[Leakage check] Class balance
     count  percent%
3TP                 
0       45      68.2
1       21      31.8

[Leakage check] 未發現與目標 |r| ≥ 0.95 的欄位。

=== Basic ML Benchmark (Stratified 5-fold CV) ===
             model   AUC  AUC_overall  F1_pos(=1)  Prec_pos  Rec_pos  F1_neg(=0)  Prec_neg  Rec_neg   MCC  Accuracy  Pred1_mean  Pred0_mean
        NaiveBayes 0.901        0.901       0.703     0.812    0.619       0.884     0.840    0.933 0.600     0.833       3.200      10.000
LogisticRegression 0.863        0.863       0.667     0.667    0.667       0.844     0.844    0.844 0.511     0.788       4.200       9.000
               MLP 0.848        0.848       0.732     0.750    0.714       0.879     0.870    0.889 0.611     0.833       4.000       9.200
               KNN 0.842        0.842       0.600     0.632    0.571       0.826     0.809    0.844 0.428     0.758       3.800       9.400
      RandomForest 0.838        0.838       0.579     0.647    0.524       0.830     0.796    0.867 0.416     0.758       3.400       9.800
               SVM 0.833        0.833       0.711     0.667    0.762       0.851     0.881    0.822 0.566     0.803       4.800       8.400
           XGBoost 0.782        0.782       0.564     0.611    0.524       0.817     0.792    0.844 0.385     0.742       3.600       9.600
      DecisionTree 0.695        0.695       0.579     0.647    0.524       0.830     0.796    0.867 0.416     0.758       3.400       9.800

--- Aggregated Confusion Matrix Sums (across all folds' test parts) ---
             model  TN_sum  FP_sum  FN_sum  TP_sum                                                                                                                                                  FP_FN_IDS
        NaiveBayes      42       3       8      13                                                       [S112019, S112240, S112271 | S112008, S112036, S112257, S112203, S112029, S112169, S112183, S112268]
LogisticRegression      38       7       7      14                            [S112019, S112026, S112047, S112240, S112271, S112194, S112159 | S112008, S112036, S112257, S112203, S112222, S112169, S112183]
               MLP      40       5       6      15                                                       [S112019, S112186, S112047, S112240, S112271 | S112008, S112039, S112257, S112203, S112029, S112023]
               KNN      38       7       9      12          [S112201, S112019, S112047, S112240, S112271, S112030, S112159 | S112008, S112214, S112039, S112257, S112203, S112029, S112169, S112183, S112268]
      RandomForest      39       6      10      11          [S112019, S112247, S112047, S112240, S112271, S112159 | S112008, S112039, S112257, S112075, S112203, S112222, S112029, S112169, S112183, S112268]
               SVM      37       8       5      16                                     [S112201, S112019, S112215, S112047, S112240, S112271, S112030, S112159 | S112008, S112203, S112222, S112169, S112183]
           XGBoost      38       7      10      11 [S112201, S112019, S112247, S112047, S112240, S112271, S112159 | S112008, S112036, S112086, S112039, S112257, S112075, S112203, S112222, S112029, S112268]
      DecisionTree      39       6      10      11          [S112105, S112215, S112047, S112135, S112240, S112271 | S112008, S112086, S112039, S112075, S112203, S112222, S112029, S112183, S112268, S112023]


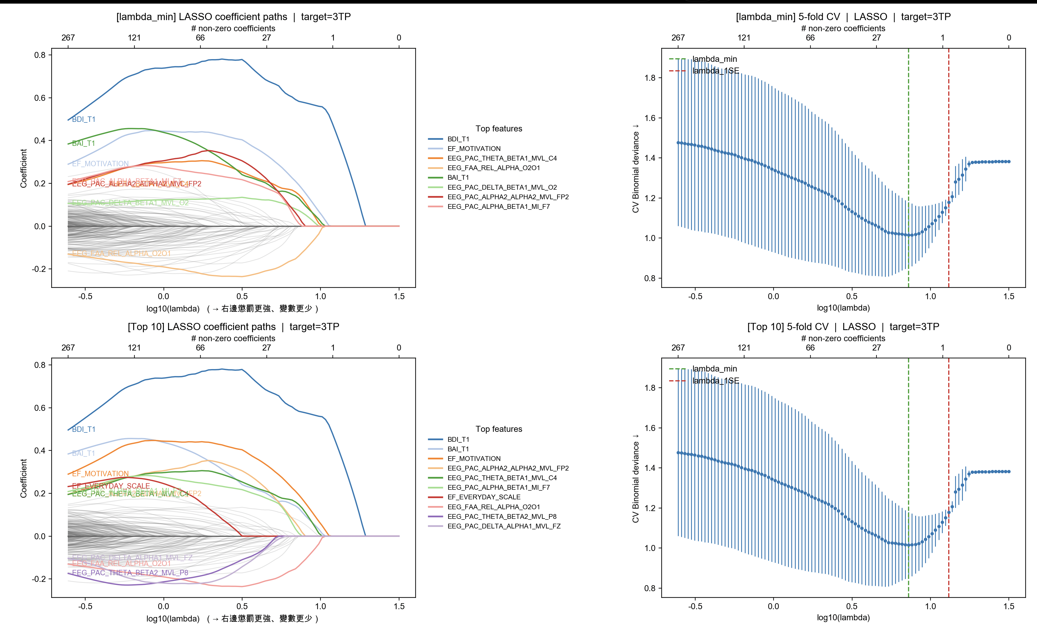
Lasso Ranking

[警告] isi_raw_data_transformer_pac_mvl 裡 NEW_NUMBER 有重複(保留第一筆):['S112116', 'S112158']
[PAC JOIN] isi_raw_data_transformer_pac_mvl: 67/97 個樣本匹配
[警告] isi_raw_data_transformer_pac_mi 裡 NEW_NUMBER 有重複(保留第一筆):['S112116', 'S112158']
[PAC JOIN] isi_raw_data_transformer_pac_mi: 67/97 個樣本匹配
[樣本模式] 排除模式 - 使用所有受試者(後續可能依缺值規則排除)
[模式] 排除模式
[篩選] 必須完整欄位數=2973 | 受試者 97 → 66

[資料] 來源=isi_raw_data_transformer  目標=3TP  樣本=66  特徵=3007
  已排除群組:['ACS', 'CPT', 'IGT', 'ISI', 'PSQI', 'WM']
  總缺值比例:0.06%
  使用模型:LASSO
  補值策略:自動補中位數
  受試者篩選:啟用(要求特定欄位組完整)

[CV結果](分數 = neg_log_loss,越大越好 → log_loss 越小)
  lambda_min:C = 0.137733  |  lambda = 7.26043
  lambda_1SE:C = 0.0764579  |  lambda = 13.0791

[選入變項(1SE)] 以 |係數| 排序(前 30)
           coef  abs_coef  data_ratio
BDI_T1  0.40035   0.40035         1.0

[對照] lambda_min 非零變項數:8,lambda_1SE 非零變項數:1

[選入變項(lambda_min)] 以 |係數| 排序(前 30)
                                   coef  abs_coef  data_ratio
BDI_T1                         0.583288  0.583288    1.000000
EF_MOTIVATION                  0.193174  0.193174    0.954545
EEG_PAC_THETA_BETA1_MVL_C4     0.147609  0.147609    1.000000
EEG_FAA_REL_ALPHA_O2O1        -0.139352  0.139352    1.000000
BAI_T1                         0.130506  0.130506    1.000000
EEG_PAC_DELTA_BETA1_MVL_O2     0.073537  0.073537    1.000000
EEG_PAC_ALPHA2_ALPHA2_MVL_FP2  0.042265  0.042265    1.000000
EEG_PAC_ALPHA_BETA1_MI_F7      0.013178  0.013178    1.000000



────────────────────────────────────────────────────────────────────────────────
  Baseline 各模型 AUC
────────────────────────────────────────────────────────────────────────────────
    DecisionTree               F1=0.4751  AUC=0.6535
    KNN                        F1=0.5087  AUC=0.7949
    LogisticRegression         F1=0.6042  AUC=0.8589
    MLP                        F1=0.4907  AUC=0.8177
    NaiveBayes                 F1=0.6129  AUC=0.8875
    RandomForest               F1=0.4828  AUC=0.8142
    SVM                        F1=0.6264  AUC=0.8226
    XGBoost                    F1=0.3848  AUC=0.7808

────────────────────────────────────────────────────────────────────────────────
  Top 30 附加特徵 (mean_delta_AUC 排序)
────────────────────────────────────────────────────────────────────────────────
                feature_combination  mean_delta  positive_ratio  delta_DecisionTree  delta_KNN  delta_LogisticRegression  delta_MLP  delta_NaiveBayes  delta_RandomForest  delta_SVM  delta_XGBoost
rank                                                                                                                                                                                               
1       +EEG_PAC_THETA_BETA2_MVL_P4      0.0599            1.00              0.0387     0.1515                    0.0391     0.0532            0.0474              0.0462     0.0960         0.0074
2       +EEG_PAC_THETA_BETA1_MVL_F8      0.0599            0.88              0.0475     0.1297                   -0.0238     0.1212            0.0234              0.0544     0.0819         0.0450
3            +EEG_PWR_ABS_GAMMA2_CZ      0.0540            0.88              0.0364     0.1505                    0.0206     0.0808           -0.0292              0.0610     0.0514         0.0603
4             +EEG_PWR_ABS_GAMMA_CZ      0.0495            0.75             -0.0230     0.1506                    0.0268     0.0653           -0.0006              0.0548     0.0514         0.0706
5       +EEG_PAC_ALPHA1_BETA_MVL_CZ      0.0495            0.88              0.0618     0.0985                   -0.0079     0.0929            0.0175              0.0206     0.0347         0.0777
6       +EEG_PAC_ALPHA1_BETA_MVL_F4      0.0491            0.88              0.1518     0.0796                   -0.0171     0.0016            0.0143              0.0365     0.0294         0.0967
7            +EEG_PWR_ABS_GAMMA1_CZ      0.0473            0.88             -0.0253     0.1292                    0.0204     0.0593            0.0121              0.0659     0.0514         0.0654
8            +EEG_PWR_ABS_GAMMA2_C3      0.0473            1.00              0.0588     0.0567                    0.0173     0.0802            0.0016              0.0327     0.0419         0.0891
9        +EEG_PAC_DELTA_ALPHA_MI_C3      0.0468            1.00              0.1049     0.1027                    0.0169     0.0385            0.0079              0.0445     0.0222         0.0369
10           +EEG_PWR_ABS_HGAMMA_CZ      0.0467            0.88              0.0722     0.1430                    0.0238     0.0077           -0.0861              0.0718     0.0514         0.0901
11     +EEG_PAC_ALPHA_ALPHA1_MI_FP2      0.0460            0.75              0.0357     0.0672                   -0.0101     0.0539           -0.0157              0.0707     0.0663         0.0997
12      +EEG_PAC_ALPHA1_ALPHA_MI_C3      0.0444            0.75              0.1955     0.0413                    0.0327    -0.0097           -0.0437              0.0354     0.0163         0.0870
13      +EEG_PAC_DELTA_BETA1_MVL_O2      0.0430            1.00              0.0341     0.0870                    0.0391     0.0212            0.0204              0.0265     0.0575         0.0577
14      +EEG_PAC_THETA_ALPHA_MVL_C4      0.0425            0.88              0.0373     0.0839                    0.0548     0.0750            0.0179              0.0365     0.0458        -0.0115
15     +EEG_PAC_THETA_ALPHA2_MVL_O1      0.0402            0.75              0.0089     0.1169                    0.0173     0.0885           -0.0048              0.0452     0.0696        -0.0202
16          +EEG_FAA_REL_ALPHA_F4F3      0.0402            1.00              0.0454     0.0900                    0.0111     0.0554            0.0298              0.0573     0.0321         0.0008
17       +EEG_PAC_ALPHA1_BETA_MI_CZ      0.0393            0.88              0.0491     0.0569                   -0.0109     0.0976            0.0111              0.0438     0.0254         0.0413
18       +EEG_PAC_ALPHA_ALPHA_MI_C3      0.0391            0.75             -0.0112     0.1102                   -0.0077     0.0222            0.0550              0.0237     0.0550         0.0656
19       +EEG_PAC_ALPHA_BETA_MVL_F4      0.0386            0.88              0.0677     0.0982                   -0.0107     0.0502            0.0365              0.0373     0.0236         0.0057
20          +EEG_FAA_REL_GAMMA_C4C3      0.0386            1.00              0.0595     0.0750                    0.0113     0.0702            0.0175              0.0283     0.0202         0.0266
21     +EEG_PAC_ALPHA2_GAMMA2_MI_O2      0.0385            0.75             -0.0001     0.0991                    0.0615     0.0720            0.0327              0.0141    -0.0087         0.0370
22      +EEG_PAC_DELTA_GAMMA_MVL_T7      0.0377            0.88              0.0722     0.0956                    0.0264     0.0256           -0.0079              0.0339     0.0470         0.0087
23            +EEG_PWR_ABS_GAMMA_C3      0.0376            1.00              0.0246     0.0849                    0.0236     0.0579            0.0048              0.0209     0.0389         0.0452
24       +EEG_PAC_ALPHA1_BETA_MI_F4      0.0375            0.88              0.1019     0.0591                   -0.0105     0.0063            0.0149              0.0390     0.0238         0.0657
25    +EEG_PAC_ALPHA2_ALPHA1_MVL_T7      0.0375            0.75             -0.0133     0.0766                   -0.0012     0.0440            0.0355              0.0400     0.0446         0.0736
26     +EEG_PAC_DELTA_ALPHA2_MVL_P3      0.0369            0.88              0.0262     0.0786                    0.0242     0.0575           -0.0050              0.0352     0.0260         0.0526
27      +EEG_PAC_ALPHA_GAMMA1_MI_CZ      0.0360            1.00              0.0863     0.0352                    0.0143     0.0274            0.0085              0.0298     0.0226         0.0639
28         +EEG_FAA_REL_GAMMA2_C4C3      0.0355            0.88              0.0944     0.0751                    0.0113     0.0546            0.0143              0.0317    -0.0050         0.0076
29     +EEG_PAC_ALPHA2_GAMMA2_MI_P7      0.0351            0.75              0.1301     0.0674                   -0.0204     0.0500           -0.0238              0.0236     0.0115         0.0422
30       +EEG_FAA_REL_GAMMA2_FP2FP1      0.0351            0.88              0.0142     0.0750                    0.0081     0.0284           -0.0111              0.0385     0.0482         0.0792

────────────────────────────────────────────────────────────────────────────────
  Top 10 by positive_ratio(對最多模型有幫助)
────────────────────────────────────────────────────────────────────────────────
               feature_combination  mean_delta  positive_ratio  delta_DecisionTree  delta_KNN  delta_LogisticRegression  delta_MLP  delta_NaiveBayes  delta_RandomForest  delta_SVM  delta_XGBoost
rank                                                                                                                                                                                              
1      +EEG_PAC_THETA_BETA2_MVL_P4      0.0599             1.0              0.0387     0.1515                    0.0391     0.0532            0.0474              0.0462     0.0960         0.0074
8           +EEG_PWR_ABS_GAMMA2_C3      0.0473             1.0              0.0588     0.0567                    0.0173     0.0802            0.0016              0.0327     0.0419         0.0891
9       +EEG_PAC_DELTA_ALPHA_MI_C3      0.0468             1.0              0.1049     0.1027                    0.0169     0.0385            0.0079              0.0445     0.0222         0.0369
13     +EEG_PAC_DELTA_BETA1_MVL_O2      0.0430             1.0              0.0341     0.0870                    0.0391     0.0212            0.0204              0.0265     0.0575         0.0577
16         +EEG_FAA_REL_ALPHA_F4F3      0.0402             1.0              0.0454     0.0900                    0.0111     0.0554            0.0298              0.0573     0.0321         0.0008
20         +EEG_FAA_REL_GAMMA_C4C3      0.0386             1.0              0.0595     0.0750                    0.0113     0.0702            0.0175              0.0283     0.0202         0.0266
23           +EEG_PWR_ABS_GAMMA_C3      0.0376             1.0              0.0246     0.0849                    0.0236     0.0579            0.0048              0.0209     0.0389         0.0452
27     +EEG_PAC_ALPHA_GAMMA1_MI_CZ      0.0360             1.0              0.0863     0.0352                    0.0143     0.0274            0.0085              0.0298     0.0226         0.0639
33    +EEG_PAC_ALPHA2_BETA3_MVL_T7      0.0342             1.0              0.0253     0.0484                    0.0327     0.0280            0.0044              0.0785     0.0210         0.0351
37     +EEG_PAC_THETA_GAMMA2_MI_T7      0.0330             1.0              0.0350     0.0920                    0.0363     0.0201            0.0329              0.0232     0.0179         0.0065

================================================================================
  完成。總耗時:768.4s (12.8 min)
================================================================================

暴力拆解解釋:

  • 比例

  • 耦合熱圖
  • 考慮到所有通道


增加更多 PWR 相加

📍 EEG_PWR 點位相加統計

資料庫中 EEG_PWR 欄位採用兩層結構

  1. 單點位 (Single Electrodes): C3, C4, F3, F4, F7, F8, FP1, FP2, O1, O2, P3, P4, CZ, FZ, PZ, T3, T4, T5, T6
  2. 相加組合 (Averaged Pairs): 標記為 _AVG 結尾,例如 C3C4_AVG, F3F4_AVG

🔄 相加組合統計總表

頻段頻率範圍相加組合數PWR 類型典型相加位置
Delta0.5-3 Hz19×2 = 38ABS, RELBRAIN_AVG, C3C4_AVG, F3F4_AVG, F7F8_AVG, FP_AVG, FZCZPZ_AVG, O1O2_AVG, P3P4_AVG, T3T4_AVG, T5T6_AVG
Theta4-7 Hz19×2 = 38ABS, REL同上
Alpha18-10 Hz18×2 = 36ABS, REL同上 (少 F3F4_AVG)
Alpha211-13 Hz19×2 = 38ABS, REL同上
Alpha8-13 Hz19×2 = 38ABS, REL同上
Beta113-20 Hz19×2 = 38ABS, REL同上
Beta220-30 Hz19×2 = 38ABS, REL同上
Beta330-40 Hz19×2 = 38ABS, REL同上
Beta13-40 Hz19×2 = 38ABS, REL同上
Gamma130-50 Hz19×2 = 38ABS, REL同上
Gamma240-80 Hz19×2 = 38ABS, REL同上
Gamma30-80 Hz19×2 = 38ABS, REL同上
High Beta20-40 Hz19×2 = 38ABS, REL同上
High Gamma60-100 Hz19×2 = 38ABS, REL同上

總計: 14 個頻段 × (平均 19-18 個相加組合) × 2 (ABS/REL) ≈ 500+ 個 PWR 相加欄位

📊 相加位置解析

位置代碼說明包含的電極功能區域
BRAIN_AVG全腦平均所有電極全局腦活動
C3C4_AVG中央相加C3 + C4中央皮質 (Motor area)
F3F4_AVG前額相加F3 + F4背外側前額皮質 (DLPFC)
F7F8_AVG顳額相加F7 + F8側顳皮質
FP_AVG前極相加FP1 + FP2前額極 (PFC)
FZCZPZ_AVG中線相加FZ + CZ + PZ中線皮質
O1O2_AVG枕葉相加O1 + O2視覺皮質
P3P4_AVG頂葉相加P3 + P4頂葉皮質
T3T4_AVG顳葉相加T3 + T4側顳皮質 (lower)
T5T6_AVG後顳葉相加T5 + T6後側顳皮質

💡 設計理念

  • 左右對稱相加: 大多數相加組合為左右半球對稱的電極對,便於檢測半球間的功能整合
  • 雙重量化: 同時提供 ABS (絕對功率)REL (相對功率),便於歸一化比較
  • 跨頻段覆蓋: 從低頻 (Delta) 到高頻 (High Gamma),涵蓋認知和神經生理的全頻譜

🎯 常用組合組合建議

推薦用於睡眠/放鬆分析:

  • Delta + Theta 的 BRAIN_AVG (低頻全腦)
  • Alpha 的 FZCZPZ_AVG (中線放鬆)

推薦用於認知/執行功能:

  • Beta1 + Beta2 的 F3F4_AVG (前額執行控制)
  • Gamma 的 C3C4_AVG (中央認知處理)

推薦用於情緒/社交:

  • Alpha1/2 的 F7F8_AVG (顳葉社交處理)
  • Theta 的 O1O2_AVG (後顳葉整合)