老師指示(2026/4/1)
- ISI 切點:改為 8(原本 9)→ 與 Hamilton 2024 成人標準一致
- 臨床變化門檻:Δ ≥ 6 分(原本 3 分)→ 符合文獻 clinically meaningful change 標準
- 分群邏輯:OR(後續 ≥ 8 或 後續 − T1 ≥ 6)
- 分析版本:T1&T2、T1&T3 兩組分開跑
分群規則
| 條件 | 說明 |
|---|---|
| 基線篩選 | T1 < 8(睡眠良好) |
| Group 0 | T1 < 8,且後續 < 8,且 Δ < 6 |
| Group 1 | T1 < 8,且(後續 ≥ 8 或 Δ ≥ 6) |
| Null | T1 ≥ 8,或無後續資料 |
T1 & T2 分群結果
基底:T1 < 8 且有 T2 資料,共 98 人(T1 ≥ 8 排除 162 人;無 T2 排除 75 人)
| 組別 | N | T1 mean ± SD | T2 mean ± SD |
|---|---|---|---|
| Group 0(持續良好) | 78 | 3.8 ± 1.9 | 3.3 ± 2.1 |
| Group 1(後續變差) | 20 | 4.7 ± 2.1 | 9.4 ± 1.7 |
| Null | 237 | — | — |
Group 1 細分(OR 邏輯拆解):
| 條件 | N |
|---|---|
| 兩條件皆符合(T2 ≥ 8 且 Δ ≥ 6) | 7 |
| 僅 T2 ≥ 8(Δ < 6) | 12 |
| 僅 Δ ≥ 6(T2 < 8) | 1 |
T1 & T3 分群結果
基底:T1 < 8 且有 T3 資料,共 72 人(T1 ≥ 8 排除 94 人;無 T3 排除 169 人)
| 組別 | N | T1 mean ± SD | T3 mean ± SD |
|---|---|---|---|
| Group 0(持續良好) | 61 | 3.7 ± 1.9 | 2.8 ± 1.9 |
| Group 1(後續變差) | 11 | 4.5 ± 2.2 | 10.0 ± 2.1 |
| Null | 270 | — | — |
Group 1 細分(OR 邏輯拆解):
| 條件 | N |
|---|---|
| 兩條件皆符合(T3 ≥ 8 且 Δ ≥ 6) | 5 |
| 僅 T3 ≥ 8(Δ < 6) | 6 |
| 僅 Δ ≥ 6(T3 < 8) | 0 |
資料庫更新
已在 isi_raw_data_recalc 新增兩個欄位:
| 欄位名稱 | 說明 |
|---|---|
traj_t1t2 | T1&T2 分群結果(0 / 1 / NULL) |
traj_t1t3 | T1&T3 分群結果(0 / 1 / NULL) |
寫入規則:
0= Group 0(持續良好)1= Group 1(後續變差)NULL= T1 ≥ 8 或無後續資料,不納入分析
與前次版本對比(切點 9 → 8)
| 版本 | 基線條件 | Group 0 (T2) | Group 1 (T2) | Group 0 (T3) | Group 1 (T3) |
|---|---|---|---|---|---|
| 舊版(切點 9,AND,Δ ≥ 3) | T1 < 9 | 97 | 12 | 71 | 10 |
| 新版(切點 8,OR,Δ ≥ 6) | T1 < 8 | 78 | 20 | 61 | 11 |
→ 切點改為 8 雖然縮小基線樣本池,但 OR 邏輯讓 Group 1(T2 版)從 12 人增加到 20 人,同時符合文獻 ≥ 6 分的臨床意義標準。
補充:有腦波資料的分群人數
分群欄位
traj_t1t2、traj_t1t3已同步寫入isi_raw_data_transformer(334 人)。 以下統計使用該表的 EEG_PWR AVG 欄位組(264 個有效欄位,排除 1 個完全空白欄)。 有任意 EEG 資料者:267 / 334 人。
分群 × 有無 EEG(isi_raw_data_transformer)
| 分組版本 | 組別 | ISI 分群總數 | 有 EEG | 無 EEG |
|---|---|---|---|---|
| T1 & T2 | Group 0(持續良好) | 79 | 61 | 18 |
| T1 & T2 | Group 1(後續變差) | 20 | 17 | 3 |
| T1 & T3 | Group 0(持續良好) | 61 | 45 | 16 |
| T1 & T3 | Group 1(後續變差) | 12 | 7 | 5 |
統計相關性
traj_t1t2
========================================================================
[traj_t1t2] 來源:isi_raw_data_transformer(已在 SQL where 過濾 traj_t1t2 IS NOT NULL)
[樣本篩選] EXCLUDE_SAMPLE_IDS:99 → 98
[概況] 列=98 欄=1082 總缺值=21608
[目標 'traj_t1t2'] 樣本數:98
- 類別 0: 78 (79.6%)
- 類別 1: 20 (20.4%)
[模式] 排除模式
[EEG 篩選] 移除 730 個不符合的 EEG 欄位:1064 → 334
------------------------------------------------------------------------
[traj_t1t2] 模式=排除 | 使用欄位數=334 | 排除群組=['ISI', 'PSQI']
- 實際可用特徵數:330
- 排序依據:info_gain | Top 30
info_gain gain_ratio SU gini_decrease anova_f chi2
EEG_PWR_REL_THETA_T3T4_AVG 0.458 0.121 0.202 0.000 1.464 44.739
EEG_PWR_REL_BETA3_O1O2_AVG 0.450 0.131 0.214 0.000 0.012 43.544
EEG_PWR_ABS_GAMMA2_T5T6_AVG 0.444 0.122 0.201 0.000 0.035 43.092
EEG_PWR_ABS_THETA_F7F8_AVG 0.444 0.132 0.215 0.000 0.487 43.009
EEG_PWR_REL_BETA_F7F8_AVG 0.433 0.132 0.214 0.000 0.580 42.317
EEG_PWR_ABS_ALPHA2_T3T4_AVG 0.428 0.118 0.195 0.000 0.418 40.878
EEG_PWR_ABS_BETA_P3P4_AVG 0.427 0.124 0.203 0.000 4.464 42.470
EEG_PWR_REL_BETA1_BRAIN_AVG 0.427 0.125 0.205 0.000 2.051 40.638
EEG_PWR_REL_ALPHA2_P3P4_AVG 0.422 0.128 0.209 0.000 0.507 41.362
EEG_PWR_REL_BETA1_T5T6_AVG 0.419 0.130 0.211 0.000 2.381 40.532
EEG_PWR_ABS_ALPHA_F7F8_AVG 0.414 0.136 0.218 0.000 0.007 40.380
EEG_PWR_REL_BETA1_T3T4_AVG 0.409 0.127 0.205 0.000 2.716 39.798
EEG_PWR_REL_DELTA_BRAIN_AVG 0.408 0.119 0.195 0.000 0.090 39.185
EEG_PWR_ABS_BETA_O1O2_AVG 0.406 0.139 0.220 0.000 2.587 39.847
EEG_PWR_ABS_BETA_F7F8_AVG 0.406 0.118 0.193 0.000 0.546 39.826
EEG_PWR_REL_GAMMA1_F3F4_AVG 0.403 0.119 0.194 0.000 0.086 39.411
EEG_PWR_ABS_GAMMA1_F3F4_AVG 0.402 0.140 0.221 0.000 0.001 42.597
EEG_PWR_ABS_BETA_BRAIN_AVG 0.398 0.127 0.205 0.000 1.349 38.165
EEG_PWR_REL_ALPHA2_T5T6_AVG 0.396 0.117 0.191 0.000 0.132 37.412
EEG_PWR_REL_BETA_BRAIN_AVG 0.392 0.119 0.193 0.000 0.812 37.453
EEG_PWR_ABS_THETA_O1O2_AVG 0.391 0.115 0.187 0.000 0.149 38.636
EEG_PWR_ABS_DELTA_FP_AVG 0.390 0.112 0.183 0.117 0.153 39.515
EEG_PWR_REL_BETA_FZCZPZ_AVG 0.385 0.107 0.177 0.000 1.075 36.601
EEG_PWR_REL_DELTA_F3F4_AVG 0.380 0.117 0.190 0.000 0.236 37.667
EEG_PWR_ABS_ALPHA_F3F4_AVG 0.376 0.133 0.210 0.000 0.057 36.421
EEG_PWR_REL_BETA_T5T6_AVG 0.373 0.104 0.171 0.000 1.528 36.892
HRV_LF 0.372 0.125 0.199 0.000 0.156 34.373
EEG_PWR_ABS_GAMMA2_FZCZPZ_AVG 0.368 0.134 0.210 0.000 0.019 35.633
EEG_PWR_REL_BETA1_FZCZPZ_AVG 0.363 0.106 0.174 0.000 1.977 34.325
EEG_PWR_REL_BETA_O1O2_AVG 0.360 0.096 0.160 0.000 0.457 34.954
traj_t1t3
========================================================================
[traj_t1t3] 來源:isi_raw_data_transformer(已在 SQL where 過濾 traj_t1t3 IS NOT NULL)
[樣本篩選] EXCLUDE_SAMPLE_IDS:73 → 72
[概況] 列=72 欄=1082 總缺值=21354
[目標 'traj_t1t3'] 樣本數:72
- 類別 0: 60 (83.3%)
- 類別 1: 12 (16.7%)
[模式] 排除模式
[EEG 篩選] 移除 730 個不符合的 EEG 欄位:1065 → 335
------------------------------------------------------------------------
[traj_t1t3] 模式=排除 | 使用欄位數=335 | 排除群組=['ISI', 'PSQI']
- 實際可用特徵數:331
- 排序依據:info_gain | Top 30
info_gain gain_ratio SU gini_decrease anova_f chi2
EEG_PWR_ABS_BETA3_T5T6_AVG 0.499 0.225 0.357 0.000 0.963 42.555
EEG_PWR_ABS_ALPHA_FP_AVG 0.499 0.177 0.294 0.000 2.715 42.555
EEG_PWR_ABS_BETA_T5T6_AVG 0.484 0.262 0.399 0.000 0.711 41.148
EEG_PWR_ABS_BETA2_T5T6_AVG 0.459 0.196 0.315 0.000 0.202 38.333
EEG_PWR_ABS_HGAMMA_T5T6_AVG 0.459 0.196 0.315 0.000 0.344 39.037
EEG_PWR_ABS_BETA1_O1O2_AVG 0.453 0.165 0.273 0.227 1.686 39.388
EEG_PWR_ABS_HGAMMA_C3C4_AVG 0.445 0.151 0.253 0.000 0.606 36.925
EEG_PWR_ABS_BETA_F3F4_AVG 0.445 0.162 0.268 0.000 1.298 36.925
EEG_PWR_REL_ALPHA_F7F8_AVG 0.445 0.158 0.263 0.000 0.183 36.925
EEG_PWR_REL_GAMMA1_C3C4_AVG 0.445 0.165 0.272 0.000 0.321 36.925
EEG_PWR_ABS_BETA_C3C4_AVG 0.428 0.149 0.249 0.000 0.381 35.799
EEG_PWR_ABS_BETA3_T3T4_AVG 0.421 0.207 0.323 0.000 0.986 37.529
EEG_PWR_REL_HGAMMA_C3C4_AVG 0.420 0.143 0.239 0.000 0.164 34.110
EEG_PWR_REL_GAMMA2_FZCZPZ_AVG 0.420 0.153 0.252 0.000 0.032 34.110
EEG_PWR_ABS_ALPHA1_F7F8_AVG 0.419 0.169 0.275 0.000 0.299 34.714
EEG_PWR_REL_THETA_P3P4_AVG 0.419 0.155 0.255 0.000 0.243 34.714
EEG_PWR_ABS_DELTA_F3F4_AVG 0.417 0.169 0.274 0.000 0.135 35.317
EEG_PWR_REL_BETA_C3C4_AVG 0.415 0.187 0.297 0.000 0.215 34.110
EEG_PWR_ABS_THETA_P3P4_AVG 0.410 0.163 0.265 0.000 0.010 35.049
EEG_PWR_REL_GAMMA2_T5T6_AVG 0.407 0.144 0.239 0.000 0.018 34.110
EEG_PWR_ABS_BETA3_FP_AVG 0.405 0.165 0.267 0.000 2.432 32.703
EEG_PWR_REL_DELTA_FZCZPZ_AVG 0.405 0.166 0.268 0.000 2.237 32.703
EEG_PWR_ABS_BETA3_F7F8_AVG 0.405 0.184 0.292 0.000 1.614 32.703
EEG_PWR_REL_BETA3_T3T4_AVG 0.405 0.155 0.255 0.000 0.452 32.703
EEG_PWR_REL_BETA3_T5T6_AVG 0.404 0.161 0.262 0.000 0.554 34.878
EEG_PWR_ABS_GAMMA1_FZCZPZ_AVG 0.401 0.149 0.245 0.000 0.485 33.628
HRV_EKG_HR 0.398 0.150 0.247 0.000 2.258 34.099
EEG_PWR_ABS_BETA2_FP_AVG 0.396 0.204 0.314 0.000 0.378 33.266
EEG_PWR_REL_BETA1_F7F8_AVG 0.391 0.143 0.236 0.000 0.400 31.295
EEG_PWR_REL_ALPHA1_F7F8_AVG 0.391 0.138 0.229 0.000 0.093 31.295
Lasso Ranking
traj_t1t2
/Users/yuchi/PycharmProjects/PsyMl_ISI/.venv/bin/python /Users/yuchi/PycharmProjects/PsyMl_ISI/ML/tools/Ranking/lasso_ranking.py
[排除清單] 總計 4 個排除樣本:['S112008', 'S112104', 'S112120', 'S112121']
[樣本模式] 排除模式 - 使用所有受試者(後續可能依缺值規則排除)
[樣本排除] 移除 1 個受試者:99 → 98
[模式] 排除模式
[EEG 細節篩選] 啟用 - 只保留包含 ('_AVG', 'BRAIN_AVG', 'FP_AVG', 'F3F4_AVG', 'C3C4_AVG', 'P3P4_AVG', 'O1O2_AVG', 'FZCZPZ_AVG') 的 EEG 欄位
[EEG 細節篩選] 排除關鍵字:無
[EEG 篩選] 移除 730 個不符合的 EEG 欄位:1064 → 334
[篩選] 未找到符合 REQUIRE_* 的欄位,跳過受試者完整性篩選
[資料] 來源=isi_raw_data_transformer 目標=traj_t1t2 樣本=98 特徵=330
已排除群組:['ISI', 'PSQI']
總缺值比例:18.27%
使用模型:LASSO
補值策略:自動補中位數
[CV結果](分數 = neg_log_loss,越大越好 → log_loss 越小)
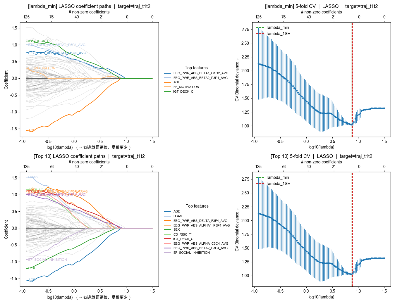
lambda_min:C = 0.136439 | lambda = 7.3293
lambda_1SE:C = 0.128978 | lambda = 7.75324
[選入變項(1SE)] 以 |係數| 排序(前 30)
coef abs_coef data_ratio
EEG_PWR_ABS_BETA1_O1O2_AVG 0.097471 0.097471 0.785714
EEG_PWR_ABS_BETA2_P3P4_AVG 0.028911 0.028911 0.785714
AGE -0.014452 0.014452 0.989796
EF_MOTIVATION 0.008777 0.008777 0.989796
[對照] lambda_min 非零變項數:5,lambda_1SE 非零變項數:4
[選入變項(lambda_min)] 以 |係數| 排序(前 30)
coef abs_coef data_ratio
EEG_PWR_ABS_BETA1_O1O2_AVG 0.118462 0.118462 0.785714
EEG_PWR_ABS_BETA2_P3P4_AVG 0.046244 0.046244 0.785714
AGE -0.044753 0.044753 0.989796
EF_MOTIVATION 0.021860 0.021860 0.989796
IGT_DECK_C 0.013202 0.013202 0.979592
[Top 10(路徑峰值)] 不綁定單一 C
AGE
DBAS
EEG_PWR_ABS_DELTA_F3F4_AVG
EEG_PWR_ABS_ALPHA1_P3P4_AVG
SEX
CD_RISC_T1
IGT_DECK_C
EEG_PWR_ABS_ALPHA_C3C4_AVG
EEG_PWR_ABS_BETA2_P3P4_AVG
EF_SOCIAL_INHIBITION

traj_t1t3
- 樣本數較少(7人睡眠變差),變項比較不可信
[排除清單] 總計 4 個排除樣本:['S112008', 'S112104', 'S112120', 'S112121']
[樣本模式] 排除模式 - 使用所有受試者(後續可能依缺值規則排除)
[樣本排除] 移除 1 個受試者:73 → 72
[模式] 排除模式
[EEG 細節篩選] 啟用 - 只保留包含 ('_AVG', 'BRAIN_AVG', 'FP_AVG', 'F3F4_AVG', 'C3C4_AVG', 'P3P4_AVG', 'O1O2_AVG', 'FZCZPZ_AVG') 的 EEG 欄位
[EEG 細節篩選] 排除關鍵字:無
[EEG 篩選] 移除 730 個不符合的 EEG 欄位:1064 → 334
[篩選] 未找到符合 REQUIRE_* 的欄位,跳過受試者完整性篩選
[資料] 來源=isi_raw_data_transformer 目標=traj_t1t3 樣本=72 特徵=330
已排除群組:['ISI', 'PSQI']
總缺值比例:24.71%
使用模型:LASSO
補值策略:自動補中位數
[CV結果](分數 = neg_log_loss,越大越好 → log_loss 越小)
lambda_min:C = 0.213945 | lambda = 4.67409
lambda_1SE:C = 0.121926 | lambda = 8.2017
[選入變項(1SE)] 以 |係數| 排序(前 30)
coef abs_coef data_ratio
BAI_T1 0.119433 0.119433 1.000000
CPT_HRT_T -0.086932 0.086932 0.972222
[對照] lambda_min 非零變項數:5,lambda_1SE 非零變項數:2
[選入變項(lambda_min)] 以 |係數| 排序(前 30)
coef abs_coef data_ratio
CPT_HRT_T -0.532566 0.532566 0.972222
BAI_T1 0.471017 0.471017 1.000000
WM_RAW_SCORE -0.099901 0.099901 0.958333
WM_DIGIT_SPAN_BACKWARD -0.073964 0.073964 0.958333
EEG_PWR_REL_DELTA_T3T4_AVG 0.011572 0.011572 0.708333
[Top 10(路徑峰值)] 不綁定單一 C
BAI_T1
EEG_PWR_ABS_DELTA_T3T4_AVG
CPT_HRT_T
EF_PLANNING
EF_EMO_MONITOR
WM_DIGIT_SPAN_BACKWARD
EEG_PWR_ABS_DELTA_F7F8_AVG
EEG_PWR_ABS_DELTA_FP_AVG
CPT_OMISSION_T
WCST_PCT_PERS_RESP_T
